Service and More
Formelsammlungen für die Technikerschule

Physik Grundlagen
[ Zurück zur Übersicht ]   [ Gästebuch ]   [ Nützliche Links ]   [ Kontakt ]   [ Impressum ]   


Zum Download des gewünschten Themas bitte MIT DER RECHTEN MAUS-TASTE
auf das entsprechende Dateiformat (Word 2000 oder PDF) klicken und dann
"Speichern unter" (Internet Explorer), "Ziel speichern unter" (Mozilla Firefox)
oder "Verknüpfung speichern unter" (Netscape) wählen und damit die Datei
auf die Festplatte speichern.

Falls Ihr mit der linke Maus-Taste klickt, öffnet sich die jeweilig verknüpfte Anwendung.

Alle Dateien sind auf Viren geprüft und virenfrei.

Inhaltsbeschreibung aller Themen der Formelsammlung
Themen der Formelsammlung Downloads
- Grundlagen Teil 1

- Grundlagen Teil 2

Aufgabeblätter und Lösungen:

- Aufgaben 2. Kurzarbeit

- Aufgaben 2. Schulaufgabe

- Lösungen 2. SCHA Teil 1

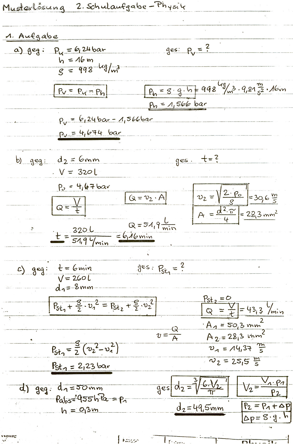
- Lösungen 2. SCHA Teil 2
Word  - 450 kB

Word  - 912 kB



JPG  - 912 kB

JPG  - 912 kB

JPG  - 912 kB

JPG  - 912 kB
PDF  - 91 kB

PDF  - 84 kB
Zurück zur Übersicht